Mergi la conţinutul principal

Brăilenii, panicați că Municipiul ar putea intra în carantină. Subprefectul îi asigură că nu este cazul unei astfel de măsuri în prezent

* mai mulți cititori ne-au contactat pentru a-și exprima îngrijorarea că municipiul și chiar județul Brăila ar putea intra în carantină * subprefectul Simona Drăghincescu exclude un asemenea scenariu deocamdată și îndeamnă cetățenii la calm și la respectarea regulilor transmise de autorități privind combaterea răspândirii noului coronavirus * aceasta a explicat procedura prin care se poate ajunge la o asemenea măsură extremă, dacă situația ar impune-o

 

În contextul în care mai multe orașe din țară au intrat sau urmează să intre în carantină, mai mulți cititori ne-au contactat pentru a-și manifesta îngrijorarea că un asemenea scenariu s-ar putea întâmpla și în Brăila. Redactorii „Obiectiv - Vocea Brăilei” au luat legătura cu autoritățile pentru a vedea în ce măsură există posibilitatea adoptării unei asemenea măsuri extreme pentru Municipiul Brăila și alte localități din județul nostru. În acest context, subprefectul (cu atribuții de prefect) Simona Drăghincescu a făcut apel la calm, precizând că momentan nu se pune problema unei decizii atât de radicale în ceea ce privește localitățile din județ. Pentru a lămuri lucrurile, acesta a ținut să explice procedura prin care se poate ajunge la acest scenariu, punctând că decizia finală se ia de la nivelul Bucureștiului.

”În primul rând, nu se închid județele! Niciodată nu se vor închide județele! Se pot închide doar localitățile, eventual. Pot intra în carantină localități pentru o perioadă de maxim 14 zile. Dar se ia această măsură doar după ce Direcția de Sănătate Publică (DSP) face o recomandare în acest sens. DSP face constant un anumit tip de calcul. Dacă decide că este nevoie, poate să facă această recomandare și trimite la Institutul Național pentru Sănătate Publică și la Comitetul Național pentru Situații de Urgență (CNSU). Abia în acest scenariu se ia decizia de carantinare a unei localități. Dar conform datelor statistice pe care le avem, nu s-au carantinat localități chiar și cu rată de infectare de 7 - 8 la mia de locuitori. O să vedem. Oricum, nu trebuie să intre nimeni în panică. Să nu se sperie nimeni! În momentul acesta nu se pune sub nicio formă problema carantinării Municipiului Brăila!”, a declarat Drăghincescu.

Subprefectul a mai explicat că au mai existat localități în județul Brăila unde rata de infectare a atins 10, dar nu s-a luat această măsură, deoarece acest calcul s-a aplicat pentru sate care au puțin locuitori, astfel că au fost situații cu doi bolnavi la 300 de locuitori, ceea ce este de la sine înțeles că nu impune intrarea în carantină.

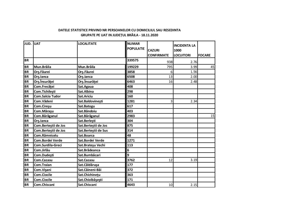
”Repet, eu le recomand brăilenilor să nu intre în panică și doar să respecte regulile de igienă. Să poarte măștile, să evite locurile aglomerate și plimbările alături de persoane asupra cărora planează suspiciuni că ar fi bolnave. În Municipiul Brăila rata de infectare este de 3,98 și 2,76 la o mie de locuitori în județ. Dar pe județ este doar o statistică, pentru că, așa cum v-am spus, nu intră în carantină județe întregi. Carantina se analizează pentru fiecare localitate în parte, dacă este cazul. Municipiul Brăila are incidența cea mai mare din județ în momentul de față. Mai avem incidență peste 10 la Roșiori, în satul Pribeagu, dar și aici avem un bolnav la 93 de locuitori. Deci nu s-a pus problema intrării în carantină. Mai avem 6,77 la Scorțaru Nou, dar sunt 3 bolnavi la 400 de locuitori. Ar mai fi 4,92 la Vărsătura, dar este posibil să iasă de sub incidența de 4,92 pentru că acești 3 bolnavi de la Vărsătura sunt vechi, se apropie de două săptămâni și vor trece acele 14 zile când sunt obligați să stea în izolare dacă s-au vindecat”, a mai adăugat Drăghincescu.

Pe pagina de Facebook a Prefecturii Brăila a fost publicată situația la zi, astfel că pe lângă cele amintite de subprefect, trebuie precizat că și în satul Mihai Kogălniceanu (comuna Râmnicelu) incidența este de 10,15, cu două cazuri confirmate.

 


Invităm cititorii la dialog civilizat şi constructiv, bazat pe respect faţă de autori sau alţi cititori. Mesajele care conţin cuvinte obscene, anunţuri publicitare, atacuri la persoană, trivialităţi, jigniri, ameninţări şi cele vulgare, xenofobe sau rasiste sunt interzise de legislaţia în vigoare. Aceste tipuri de comentarii vor fi şterse de către moderatori şi pot duce până la blocarea accesului la a mai posta comentarii pe obiectivbr.ro. Totodată, autorul comentariului îsi asuma eventualele daune, în cazul unor actiuni legale împotriva celor publicate. Pentru a avea acces la comentarii si a putea comenta trebuie sa fiti logati in disqus.com / facebook.com / google.com / twitter.com in browserul in care accesati site-ul nostru.


 

• Director general: Monica Paraschiv

• Director: Silvia Preda

• Şef departament publicitate: Sorin Preda

• Redactor Şef: Florentin Coman

• Redactor Şef Adjunct: Ionuţ Condoliu

  • Adresa: Brăila, Str. Mihai Eminescu, nr. 56, etaj 2
  • Telefon: 0740-080289
  • E-mail: redactie@obiectivbr.ro